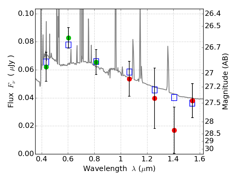
PLCKG004-19 ACS+IR detection object #2051

Color images and BPZ results
Catalog: 2051.cat
Black segments are analyzed here.   Roll mouse over color images to view segments.
Best viewed in a wide browser window (1200 pixels or more).   Download SED & P(z) plots to view larger versions.
In P(z) plots: Yellow lines mark the cluster redshift z = 0.540,  

Object #2051   x,y = (1488, 2910)   RA, Dec = (19:17:07.344, -33:30:30.96) = (289.28060, -33.50860)   BPZ = 0.057 [0.017--3.238]   type = 10.40 (SB3_B10 - SB11_A_0_l)   chisq2 = 0.35   ODDS = 0.52   z_cluster = 0.540