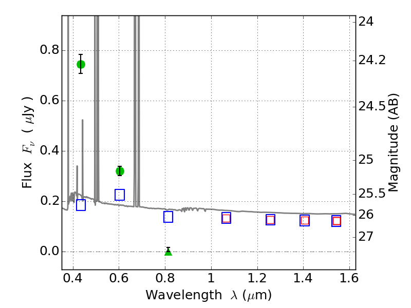
PLCKG004-19 ACS+IR detection object #1995

Color images and BPZ results
Catalog: 1995.cat
Black segments are analyzed here.   Roll mouse over color images to view segments.
Best viewed in a wide browser window (1200 pixels or more).   Download SED & P(z) plots to view larger versions.
In P(z) plots: Yellow lines mark the cluster redshift z = 0.540,  

Object #1995   x,y = (3826, 2953)   RA, Dec = (19:16:56.112, -33:30:28.44) = (289.23380, -33.50790)   BPZ = 0.019 [0.010--1.801]   type = 11.00 (SB11_A_0_l)   chisq2 = 276.00   ODDS = 0.79   z_cluster = 0.540