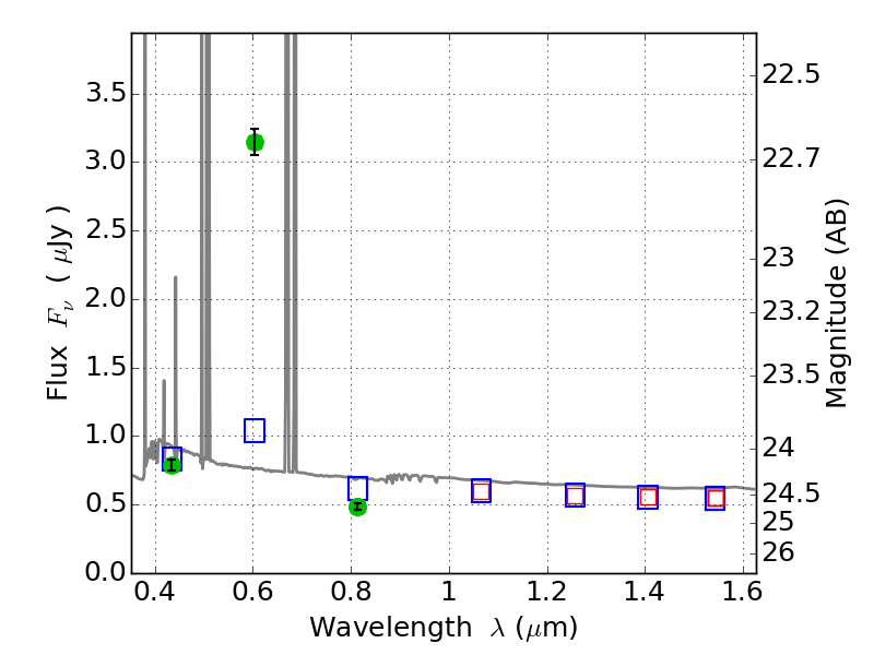
PLCKG004-19 ACS+IR detection object #1860

Color images and BPZ results
Catalog: 1860.cat
Black segments are analyzed here.   Roll mouse over color images to view segments.
Best viewed in a wide browser window (1200 pixels or more).   Download SED & P(z) plots to view larger versions.
In P(z) plots: Yellow lines mark the cluster redshift z = 0.540,  

Object #1860   x,y = (282, 2931)   RA, Dec = (19:17:13.128, -33:30:29.88) = (289.30470, -33.50830)   BPZ = 0.016 [0.010--0.031]   type = 11.00 (SB11_A_0_l)   chisq2 = 334.70   ODDS = 1.00   z_cluster = 0.540