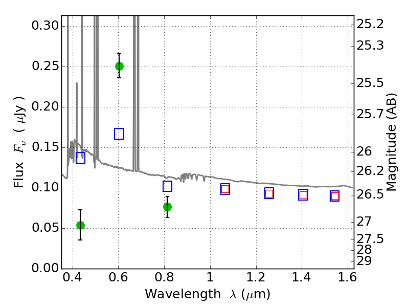
PLCKG004-19 ACS+IR detection object #1617

Color images and BPZ results
Catalog: 1617.cat
Black segments are analyzed here.   Roll mouse over color images to view segments.
Best viewed in a wide browser window (1200 pixels or more).   Download SED & P(z) plots to view larger versions.
In P(z) plots: Yellow lines mark the cluster redshift z = 0.540,  

Object #1617   x,y = (3838, 3083)   RA, Dec = (19:16:56.064, -33:30:20.52) = (289.23360, -33.50570)   BPZ = 0.020 [0.010--0.048]   type = 11.00 (SB11_A_0_l)   chisq2 = 39.64   ODDS = 1.00   z_cluster = 0.540