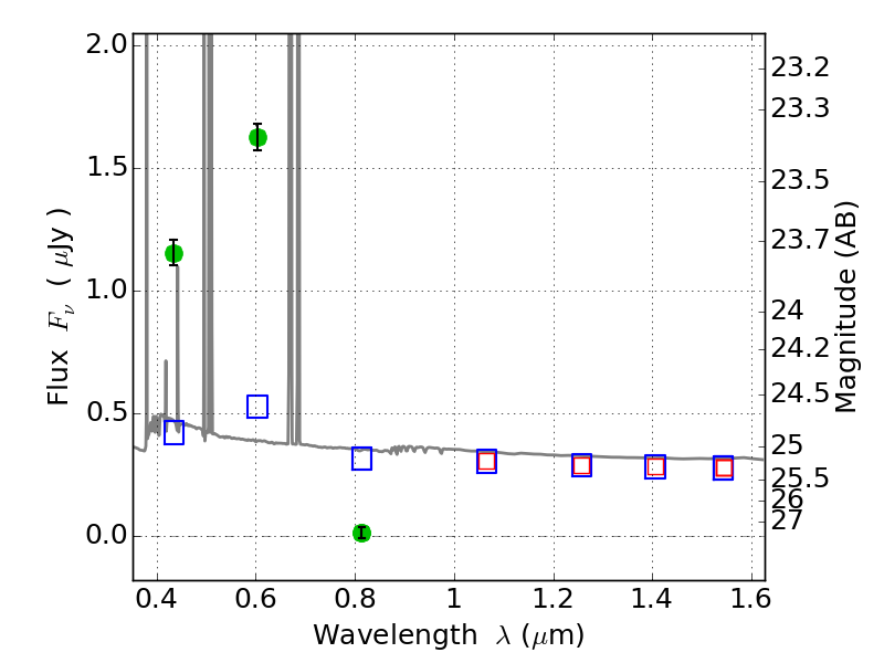
PLCKG004-19 ACS+IR detection object #1558

Color images and BPZ results
Catalog: 1558.cat
Black segments are analyzed here.   Roll mouse over color images to view segments.
Best viewed in a wide browser window (1200 pixels or more).   Download SED & P(z) plots to view larger versions.
In P(z) plots: Yellow lines mark the cluster redshift z = 0.540,  

Object #1558   x,y = (290, 3105)   RA, Dec = (19:17:13.080, -33:30:19.44) = (289.30450, -33.50540)   BPZ = 0.016 [0.010--0.032]   type = 11.00 (SB11_A_0_l)   chisq2 = 536.60   ODDS = 1.00   z_cluster = 0.540