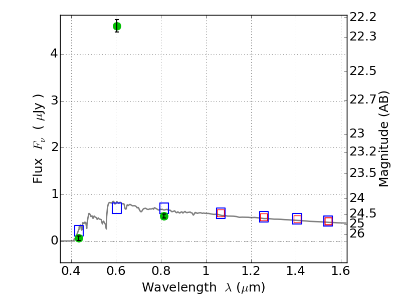
PLCKG004-19 ACS+IR detection object #1475

Color images and BPZ results
Catalog: 1475.cat
Black segments are analyzed here.   Roll mouse over color images to view segments.
Best viewed in a wide browser window (1200 pixels or more).   Download SED & P(z) plots to view larger versions.
In P(z) plots: Yellow lines mark the cluster redshift z = 0.540,  

Object #1475   x,y = (293, 3133)   RA, Dec = (19:17:13.080, -33:30:17.64) = (289.30450, -33.50490)   BPZ = 3.586 [3.454--3.662]   type = 11.00 (SB11_A_0_l)   chisq2 = 750.80   ODDS = 1.00   z_cluster = 0.540