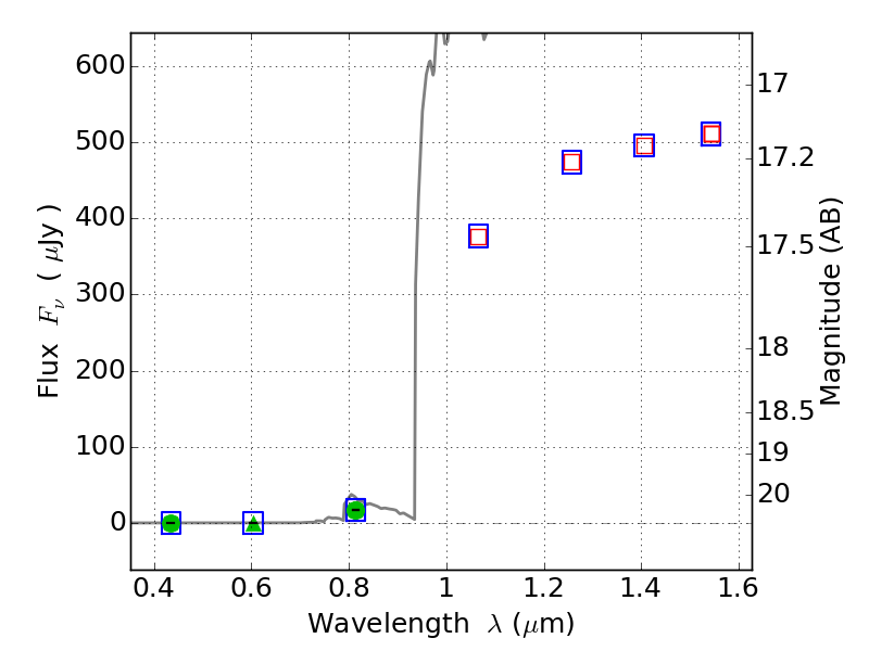
PLCKG004-19 ACS+IR detection object #1153

Color images and BPZ results
Catalog: 1153.cat
Black segments are analyzed here.   Roll mouse over color images to view segments.
Best viewed in a wide browser window (1200 pixels or more).   Download SED & P(z) plots to view larger versions.
In P(z) plots: Yellow lines mark the cluster redshift z = 0.540,  

Object #1153   x,y = (3886, 3485)   RA, Dec = (19:16:55.824, -33:29:56.40) = (289.23260, -33.49900)   BPZ = 6.697 [6.494--7.564]   type = 9.00 (SB2_B10)   chisq2 = 0.00   ODDS = 0.79   z_cluster = 0.540