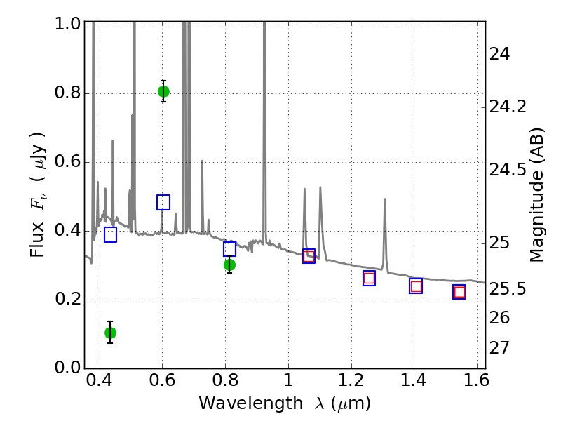
PLCKG004-19 ACS+IR detection object #1086

Color images and BPZ results
Catalog: 1086.cat
Black segments are analyzed here.   Roll mouse over color images to view segments.
Best viewed in a wide browser window (1200 pixels or more).   Download SED & P(z) plots to view larger versions.
In P(z) plots: Yellow lines mark the cluster redshift z = 0.540,  

Object #1086   x,y = (3845, 3287)   RA, Dec = (19:16:56.016, -33:30:08.28) = (289.23340, -33.50230)   BPZ = 0.017 [0.010--3.367]   type = 10.50 (SB11_A_0_l - SB3_B10)   chisq2 = 92.99   ODDS = 0.95   z_cluster = 0.540