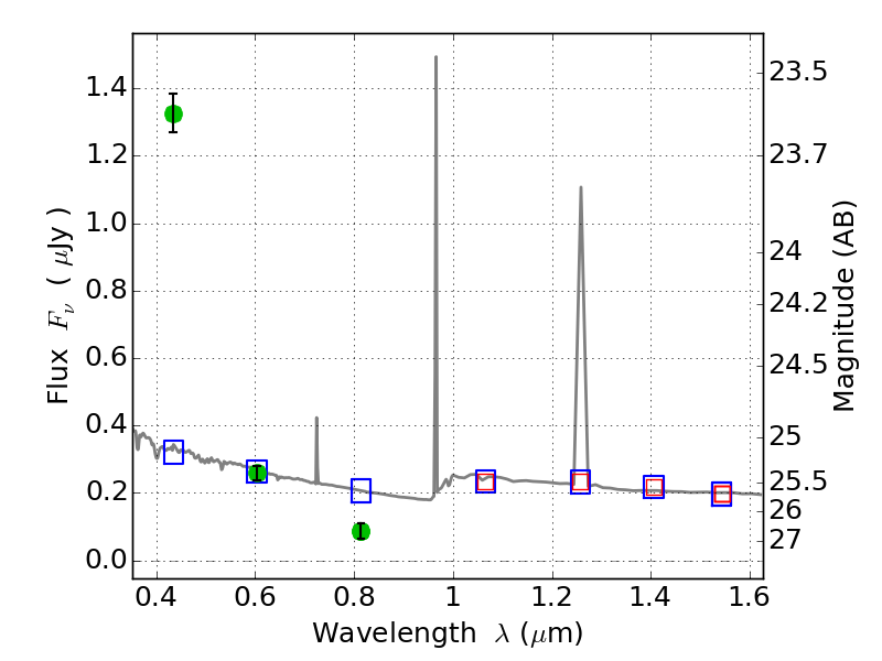
PLCKG004-19 ACS+IR detection object #1074

Color images and BPZ results
Catalog: 1074.cat
Black segments are analyzed here.   Roll mouse over color images to view segments.
Best viewed in a wide browser window (1200 pixels or more).   Download SED & P(z) plots to view larger versions.
In P(z) plots: Yellow lines mark the cluster redshift z = 0.540,  

Object #1074   x,y = (3832, 3270)   RA, Dec = (19:16:56.088, -33:30:09.36) = (289.23370, -33.50260)   BPZ = 1.593 [1.470--2.044]   type = 11.00 (SB11_A_0_l)   chisq2 = 316.60   ODDS = 0.69   z_cluster = 0.540