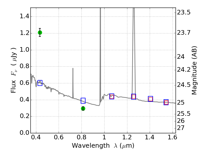
PLCKG004-19 ACS+IR detection object #7649

Color images and BPZ results
Catalog: 7649.cat
Black segments are analyzed here.   Roll mouse over color images to view segments.
Best viewed in a wide browser window (1200 pixels or more).   Download SED & P(z) plots to view larger versions.
In P(z) plots: Yellow lines mark the cluster redshift z = 0.540,  

Object #7649   x,y = (4190, 1037)   RA, Dec = (19:16:56.784, -33:32:53.52) = (289.23660, -33.54820)   BPZ = 1.593 [1.511--1.928]   type = 11.00 (SB11_A_0_l)   chisq2 = 100.70   ODDS = 0.85   z_cluster = 0.540