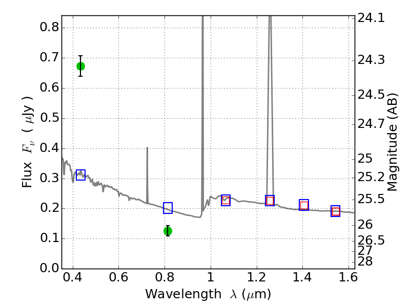
PLCKG004-19 ACS+IR detection object #7332

Color images and BPZ results
Catalog: 7332.cat
Black segments are analyzed here.   Roll mouse over color images to view segments.
Best viewed in a wide browser window (1200 pixels or more).   Download SED & P(z) plots to view larger versions.
In P(z) plots: Yellow lines mark the cluster redshift z = 0.540,  

Object #7332   x,y = (708, 1195)   RA, Dec = (19:17:13.488, -33:32:43.80) = (289.30620, -33.54550)   BPZ = 1.593 [1.466--2.049]   type = 11.00 (SB11_A_0_l)   chisq2 = 99.19   ODDS = 0.68   z_cluster = 0.540