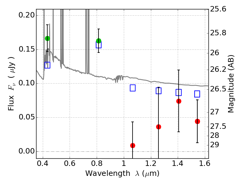
PLCKG004-19 ACS+IR detection object #6277

Color images and BPZ results
Catalog: 6277.cat
Black segments are analyzed here.   Roll mouse over color images to view segments.
Best viewed in a wide browser window (1200 pixels or more).   Download SED & P(z) plots to view larger versions.
In P(z) plots: Yellow lines mark the cluster redshift z = 0.540,  

Object #6277   x,y = (3153, 1619)   RA, Dec = (19:17:01.752, -33:32:18.60) = (289.25730, -33.53850)   BPZ = 0.105 [0.060--0.262]   type = 11.00 (SB11_A_0_l)   chisq2 = 2.36   ODDS = 0.67   z_cluster = 0.540