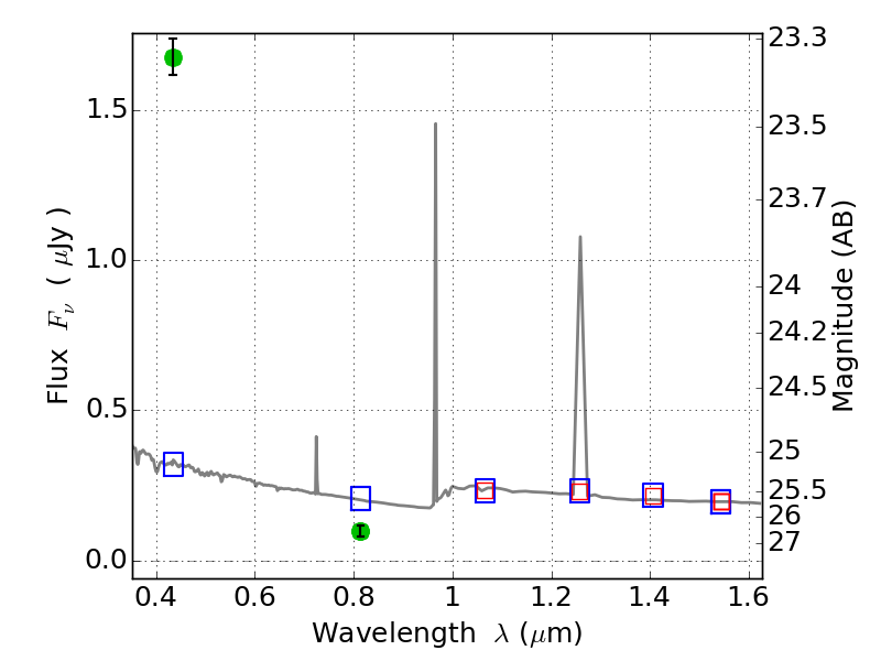
PLCKG004-19 ACS+IR detection object #5936

Color images and BPZ results
Catalog: 5936.cat
Black segments are analyzed here.   Roll mouse over color images to view segments.
Best viewed in a wide browser window (1200 pixels or more).   Download SED & P(z) plots to view larger versions.
In P(z) plots: Yellow lines mark the cluster redshift z = 0.540,  

Object #5936   x,y = (749, 1786)   RA, Dec = (19:17:13.296, -33:32:08.52) = (289.30540, -33.53570)   BPZ = 1.593 [1.483--2.013]   type = 11.00 (SB11_A_0_l)   chisq2 = 488.30   ODDS = 0.75   z_cluster = 0.540