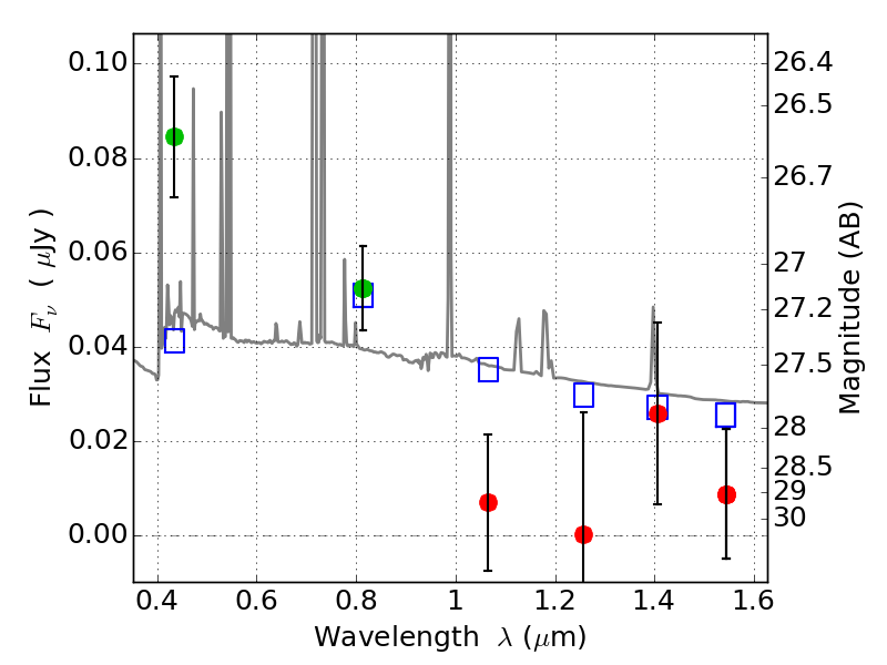
PLCKG004-19 ACS+IR detection object #5381

Color images and BPZ results
Catalog: 5381.cat
Black segments are analyzed here.   Roll mouse over color images to view segments.
Best viewed in a wide browser window (1200 pixels or more).   Download SED & P(z) plots to view larger versions.
In P(z) plots: Yellow lines mark the cluster redshift z = 0.540,  

Object #5381   x,y = (2308, 2022)   RA, Dec = (19:17:05.808, -33:31:54.48) = (289.27420, -33.53180)   BPZ = 0.092 [0.034--2.558]   type = 10.60 (SB11_A_0_l - SB3_B10)   chisq2 = 3.26   ODDS = 0.44   z_cluster = 0.540