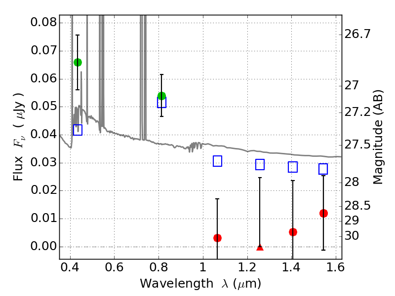
PLCKG004-19 ACS+IR detection object #4965

Color images and BPZ results
Catalog: 4965.cat
Black segments are analyzed here.   Roll mouse over color images to view segments.
Best viewed in a wide browser window (1200 pixels or more).   Download SED & P(z) plots to view larger versions.
In P(z) plots: Yellow lines mark the cluster redshift z = 0.540,  

Object #4965   x,y = (2231, 2189)   RA, Dec = (19:17:06.168, -33:31:44.40) = (289.27570, -33.52900)   BPZ = 0.105 [0.044--0.899]   type = 11.00 (SB11_A_0_l)   chisq2 = 2.70   ODDS = 0.58   z_cluster = 0.540