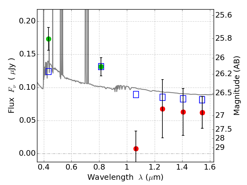
PLCKG004-19 ACS+IR detection object #4916

Color images and BPZ results
Catalog: 4916.cat
Black segments are analyzed here.   Roll mouse over color images to view segments.
Best viewed in a wide browser window (1200 pixels or more).   Download SED & P(z) plots to view larger versions.
In P(z) plots: Yellow lines mark the cluster redshift z = 0.540,  

Object #4916   x,y = (2078, 2209)   RA, Dec = (19:17:06.912, -33:31:42.96) = (289.27880, -33.52860)   BPZ = 0.071 [0.036--2.672]   type = 11.00 (SB11_A_0_l)   chisq2 = 2.88   ODDS = 0.38   z_cluster = 0.540