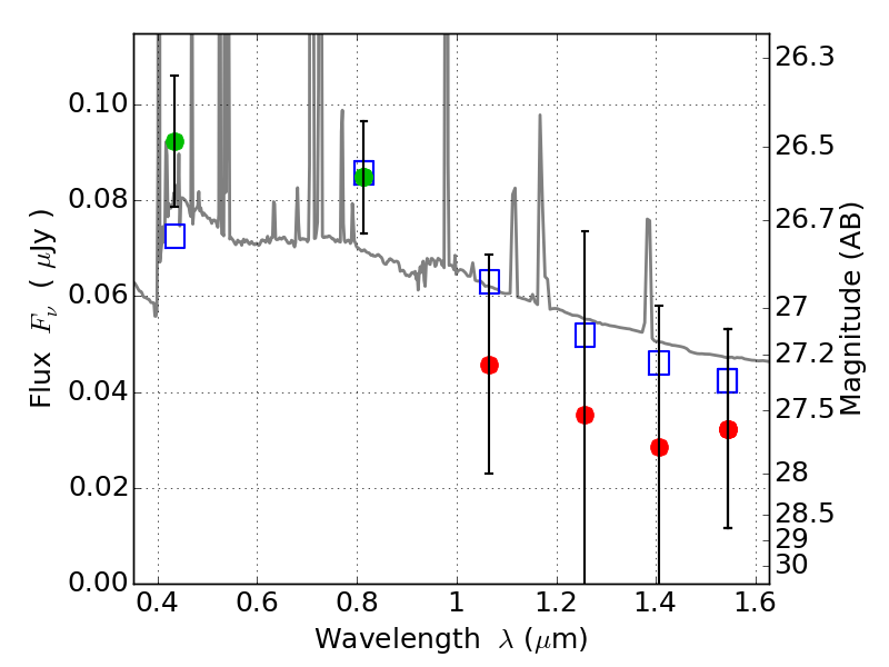
PLCKG004-19 ACS+IR detection object #4818

Color images and BPZ results
Catalog: 4818.cat
Black segments are analyzed here.   Roll mouse over color images to view segments.
Best viewed in a wide browser window (1200 pixels or more).   Download SED & P(z) plots to view larger versions.
In P(z) plots: Yellow lines mark the cluster redshift z = 0.540,  

Object #4818   x,y = (1596, 2275)   RA, Dec = (19:17:09.216, -33:31:39.00) = (289.28840, -33.52750)   BPZ = 0.080 [0.032--2.769]   type = 10.50 (SB11_A_0_l - SB3_B10)   chisq2 = 0.58   ODDS = 0.35   z_cluster = 0.540