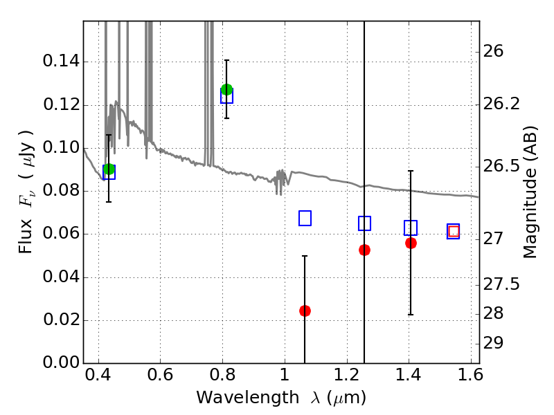
PLCKG004-19 ACS+IR detection object #3845

Color images and BPZ results
Catalog: 3845.cat
Black segments are analyzed here.   Roll mouse over color images to view segments.
Best viewed in a wide browser window (1200 pixels or more).   Download SED & P(z) plots to view larger versions.
In P(z) plots: Yellow lines mark the cluster redshift z = 0.540,  

Object #3845   x,y = (3308, 2720)   RA, Dec = (19:17:01.008, -33:31:12.36) = (289.25420, -33.52010)   BPZ = 0.137 [0.088--3.082]   type = 11.00 (SB11_A_0_l)   chisq2 = 0.90   ODDS = 0.40   z_cluster = 0.540