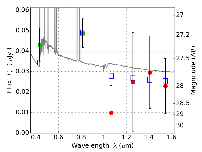
PLCKG004-19 ACS+IR detection object #3440

Color images and BPZ results
Catalog: 3440.cat
Black segments are analyzed here.   Roll mouse over color images to view segments.
Best viewed in a wide browser window (1200 pixels or more).   Download SED & P(z) plots to view larger versions.
In P(z) plots: Yellow lines mark the cluster redshift z = 0.540,  

Object #3440   x,y = (3159, 2846)   RA, Dec = (19:17:01.728, -33:31:04.80) = (289.25720, -33.51800)   BPZ = 0.172 [0.071--3.122]   type = 11.00 (SB11_A_0_l)   chisq2 = 0.47   ODDS = 0.29   z_cluster = 0.540