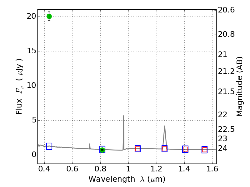
PLCKG004-19 ACS+IR detection object #3115

Color images and BPZ results
Catalog: 3115.cat
Black segments are analyzed here.   Roll mouse over color images to view segments.
Best viewed in a wide browser window (1200 pixels or more).   Download SED & P(z) plots to view larger versions.
In P(z) plots: Yellow lines mark the cluster redshift z = 0.540,  

Object #3115   x,y = (4264, 2950)   RA, Dec = (19:16:56.424, -33:30:58.68) = (289.23510, -33.51630)   BPZ = 1.593 [1.421--2.105]   type = 11.00 (SB11_A_0_l)   chisq2 = 993.50   ODDS = 0.55   z_cluster = 0.540