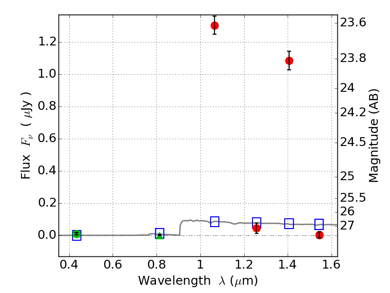
PLCKG004-19 ACS+IR detection object #2495

Color images and BPZ results
Catalog: 2495.cat
Black segments are analyzed here.   Roll mouse over color images to view segments.
Best viewed in a wide browser window (1200 pixels or more).   Download SED & P(z) plots to view larger versions.
In P(z) plots: Yellow lines mark the cluster redshift z = 0.540,  

Object #2495   x,y = (2083, 3198)   RA, Dec = (19:17:06.888, -33:30:43.92) = (289.27870, -33.51220)   BPZ = 6.460 [6.305--6.776]   type = 11.00 (SB11_A_0_l)   chisq2 = 137.00   ODDS = 0.97   z_cluster = 0.540