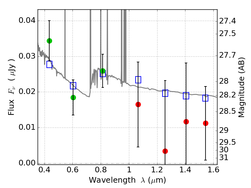
MACS0553-33 ACS+IR detection object #1980

Color images and BPZ results
Catalog: 1980.cat
Black segments are analyzed here.   Roll mouse over color images to view segments.
Best viewed in a wide browser window (1200 pixels or more).   Download SED & P(z) plots to view larger versions.
In P(z) plots: Yellow lines mark the cluster redshift z = 0.430,  

Object #1980   x,y = (2301, 2894)   RA, Dec = (05:53:24.816, -33:42:18.72) = (88.35340, -33.70520)   BPZ = 0.950 [0.154--2.723]   type = 11.00 (SB11_A_0_l)   stellarity = 0.00   chisq2 = 0.83   ODDS = 0.11   z_cluster = 0.430