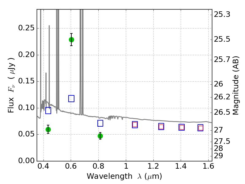
MACS0553-33 ACS+IR detection object #5318

Color images and BPZ results
Catalog: 5318.cat
Black segments are analyzed here.   Roll mouse over color images to view segments.
Best viewed in a wide browser window (1200 pixels or more).   Download SED & P(z) plots to view larger versions.
In P(z) plots: Yellow lines mark the cluster redshift z = 0.430,  

Object #5318   x,y = (1359, 392)   RA, Dec = (05:53:29.352, -33:44:48.84) = (88.37230, -33.74690)   BPZ = 0.018 [0.010--0.044]   type = 11.00 (SB11_A_0_l)   stellarity = 0.94   chisq2 = 79.20   ODDS = 1.00   z_cluster = 0.430