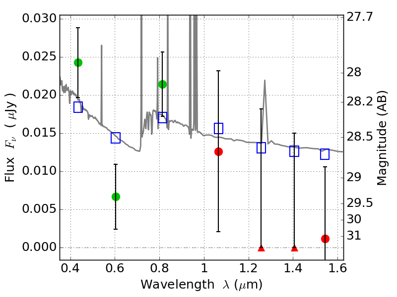
MACS0553-33 ACS+IR detection object #2478

Color images and BPZ results
Catalog: 2478.cat
Black segments are analyzed here.   Roll mouse over color images to view segments.
Best viewed in a wide browser window (1200 pixels or more).   Download SED & P(z) plots to view larger versions.
In P(z) plots: Yellow lines mark the cluster redshift z = 0.430,  

Object #2478   x,y = (3014, 2551)   RA, Dec = (05:53:21.384, -33:42:39.24) = (88.33910, -33.71090)   BPZ = 0.928 [0.107--2.671]   type = 11.00 (SB11_A_0_l)   stellarity = 0.14   chisq2 = 2.06   ODDS = 0.18   z_cluster = 0.430