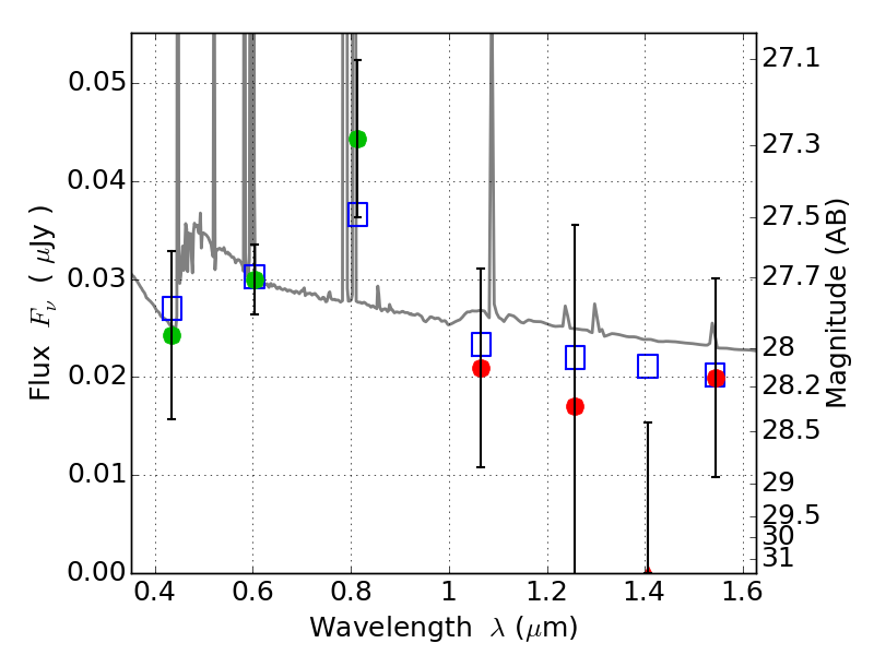
MACS0417-11 ACS+IR detection object #2796

Color images and BPZ results
Catalog: 2796.cat
Black segments are analyzed here.   Roll mouse over color images to view segments.
Best viewed in a wide browser window (1200 pixels or more).   Download SED & P(z) plots to view larger versions.
In P(z) plots: Yellow lines mark the cluster redshift z = 0.443,  

Object #2796   x,y = (2124, 2967)   RA, Dec = (04:17:35.760, -11:54:11.52) = (64.39900, -11.90320)   BPZ = 0.200 [0.087--3.485]   type = 10.90 (SB11_A_0_l - SB3_B10)   stellarity = 0.07   chisq2 = 0.73   ODDS = 0.24   z_cluster = 0.443