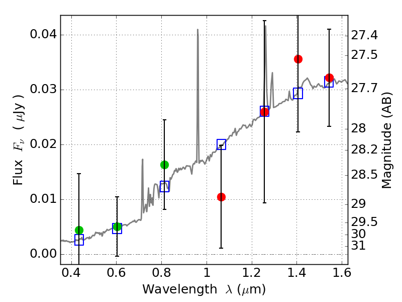
MACS0308+26 IR detection object #945

Color images and BPZ results
Catalog: 945.cat
Black segments are analyzed here.   Roll mouse over color images to view segments.
Best viewed in a wide browser window (1200 pixels or more).   Download SED & P(z) plots to view larger versions.
In P(z) plots: Yellow lines mark the cluster redshift z = 0.356,  

Object #945   x,y = (3425, 1667)   RA, Dec = (03:08:52.848, 26:44:52.08) = (47.22020, 26.74780)   BPZ = 0.920 [0.362--5.336]   type = 6.90 (Scd_B10 - Sbc_B10)   stellarity = 0.08   chisq2 = 0.37   ODDS = 0.08   z_cluster = 0.356