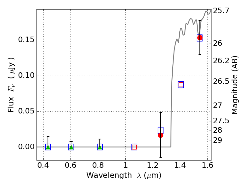
MACS0308+26 IR detection object #78

Color images and BPZ results
Catalog: 78.cat
Black segments are analyzed here.   Roll mouse over color images to view segments.
Best viewed in a wide browser window (1200 pixels or more).   Download SED & P(z) plots to view larger versions.
In P(z) plots: Yellow lines mark the cluster redshift z = 0.356,  

Object #78   x,y = (3140, 3383)   RA, Dec = (03:08:54.120, 26:46:35.04) = (47.22550, 26.77640)   BPZ = 9.977 [1.399--12.641]   type = 9.00 (SB2_B10)   stellarity = 0.14   chisq2 = 0.02   ODDS = 0.31   z_cluster = 0.356