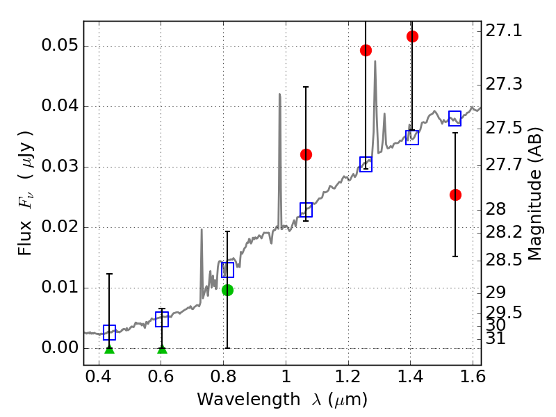
MACS0308+26 IR detection object #739

Color images and BPZ results
Catalog: 739.cat
Black segments are analyzed here.   Roll mouse over color images to view segments.
Best viewed in a wide browser window (1200 pixels or more).   Download SED & P(z) plots to view larger versions.
In P(z) plots: Yellow lines mark the cluster redshift z = 0.356,  

Object #739   x,y = (3352, 2133)   RA, Dec = (03:08:53.160, 26:45:20.16) = (47.22150, 26.75560)   BPZ = 0.961 [0.488--7.361]   type = 6.70 (Scd_B10 - Sbc_B10)   stellarity = 0.00   chisq2 = 1.18   ODDS = 0.08   z_cluster = 0.356