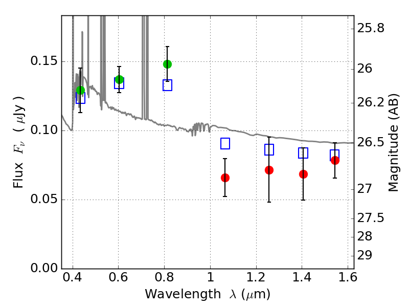
MACS0308+26 IR detection object #625

Color images and BPZ results
Catalog: 625.cat
Black segments are analyzed here.   Roll mouse over color images to view segments.
Best viewed in a wide browser window (1200 pixels or more).   Download SED & P(z) plots to view larger versions.
In P(z) plots: Yellow lines mark the cluster redshift z = 0.356,  

Object #625   x,y = (3258, 2319)   RA, Dec = (03:08:53.592, 26:45:31.32) = (47.22330, 26.75870)   BPZ = 0.077 [0.065--2.797]   type = 11.00 (SB11_A_0_l)   stellarity = 0.81   chisq2 = 1.07   ODDS = 0.27   z_cluster = 0.356