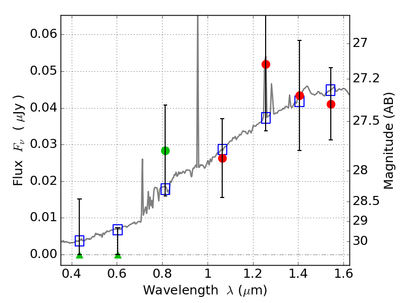
MACS0308+26 IR detection object #527

Color images and BPZ results
Catalog: 527.cat
Black segments are analyzed here.   Roll mouse over color images to view segments.
Best viewed in a wide browser window (1200 pixels or more).   Download SED & P(z) plots to view larger versions.
In P(z) plots: Yellow lines mark the cluster redshift z = 0.356,  

Object #527   x,y = (2463, 2489)   RA, Dec = (03:08:57.144, 26:45:41.40) = (47.23810, 26.76150)   BPZ = 0.910 [0.381--6.059]   type = 6.90 (Scd_B10 - Sbc_B10)   stellarity = 0.00   chisq2 = 0.57   ODDS = 0.12   z_cluster = 0.356