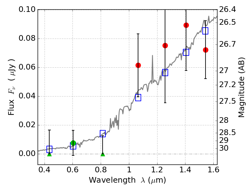
MACS0308+26 IR detection object #506

Color images and BPZ results
Catalog: 506.cat
Black segments are analyzed here.   Roll mouse over color images to view segments.
Best viewed in a wide browser window (1200 pixels or more).   Download SED & P(z) plots to view larger versions.
In P(z) plots: Yellow lines mark the cluster redshift z = 0.356,  

Object #506   x,y = (1479, 2512)   RA, Dec = (03:09:01.560, 26:45:42.84) = (47.25650, 26.76190)   BPZ = 1.328 [0.705--7.878]   type = 6.10 (Sbc_B10 - Scd_B10)   stellarity = 0.00   chisq2 = 0.76   ODDS = 0.09   z_cluster = 0.356