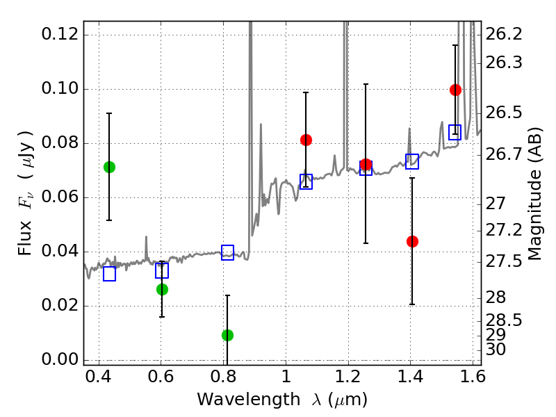
MACS0308+26 IR detection object #139

Color images and BPZ results
Catalog: 139.cat
Black segments are analyzed here.   Roll mouse over color images to view segments.
Best viewed in a wide browser window (1200 pixels or more).   Download SED & P(z) plots to view larger versions.
In P(z) plots: Yellow lines mark the cluster redshift z = 0.356,  

Object #139   x,y = (1982, 3206)   RA, Dec = (03:08:59.304, 26:46:24.60) = (47.24710, 26.77350)   BPZ = 1.383 [0.789--2.743]   type = 9.50 (SB3_B10 - SB2_B10)   stellarity = 0.00   chisq2 = 2.72   ODDS = 0.30   z_cluster = 0.356