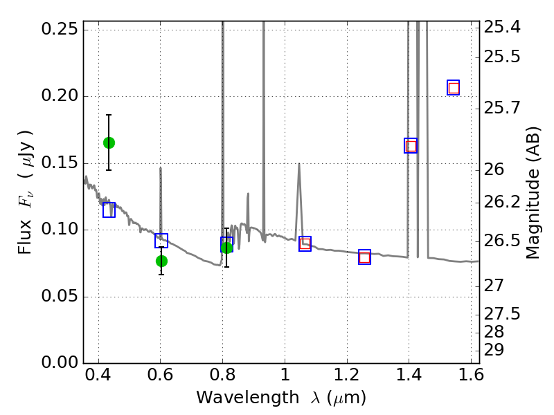
MACS0308+26 ACS+IR detection object #726

Color images and BPZ results
Catalog: 726.cat
Black segments are analyzed here.   Roll mouse over color images to view segments.
Best viewed in a wide browser window (1200 pixels or more).   Download SED & P(z) plots to view larger versions.
In P(z) plots: Yellow lines mark the cluster redshift z = 0.356,  

Object #726   x,y = (2718, 3709)   RA, Dec = (03:08:56.016, 26:46:54.84) = (47.23340, 26.78190)   BPZ = 1.150 [0.821--2.391]   type = 11.00 (SB11_A_0_l)   chisq2 = 4.91   ODDS = 0.17   z_cluster = 0.356