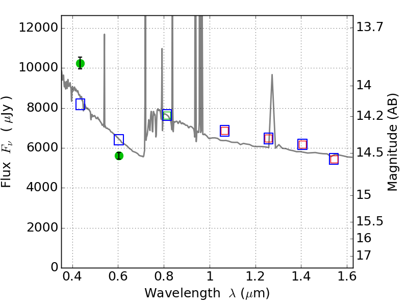
MACS0308+26 ACS+IR detection object #4551

Color images and BPZ results
Catalog: 4551.cat
Black segments are analyzed here.   Roll mouse over color images to view segments.
Best viewed in a wide browser window (1200 pixels or more).   Download SED & P(z) plots to view larger versions.
In P(z) plots: Yellow lines mark the cluster redshift z = 0.356,  

Object #4551   x,y = (2724, 852)   RA, Dec = (03:08:55.968, 26:44:03.12) = (47.23320, 26.73420)   BPZ = 0.931 [0.906--1.051]   type = 11.00 (SB11_A_0_l)   chisq2 = 12.86   ODDS = 0.92   z_cluster = 0.356