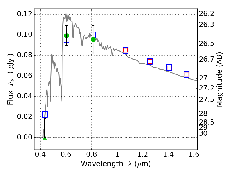
MACS0308+26 ACS+IR detection object #4472

Color images and BPZ results
Catalog: 4472.cat
Black segments are analyzed here.   Roll mouse over color images to view segments.
Best viewed in a wide browser window (1200 pixels or more).   Download SED & P(z) plots to view larger versions.
In P(z) plots: Yellow lines mark the cluster redshift z = 0.356,  

Object #4472   x,y = (2172, 1106)   RA, Dec = (03:08:58.440, 26:44:18.60) = (47.24350, 26.73850)   BPZ = 3.679 [0.307--4.016]   type = 11.00 (SB11_A_0_l)   chisq2 = 1.51   ODDS = 0.55   z_cluster = 0.356