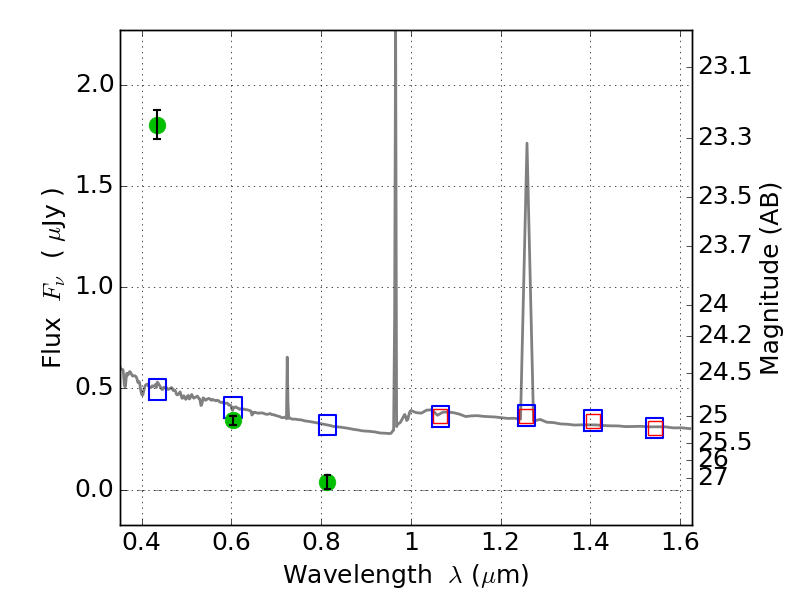
MACS0308+26 ACS+IR detection object #4236

Color images and BPZ results
Catalog: 4236.cat
Black segments are analyzed here.   Roll mouse over color images to view segments.
Best viewed in a wide browser window (1200 pixels or more).   Download SED & P(z) plots to view larger versions.
In P(z) plots: Yellow lines mark the cluster redshift z = 0.356,  

Object #4236   x,y = (4092, 1263)   RA, Dec = (03:08:49.848, 26:44:27.96) = (47.20770, 26.74110)   BPZ = 1.592 [1.432--2.065]   type = 11.00 (SB11_A_0_l)   chisq2 = 324.40   ODDS = 0.68   z_cluster = 0.356