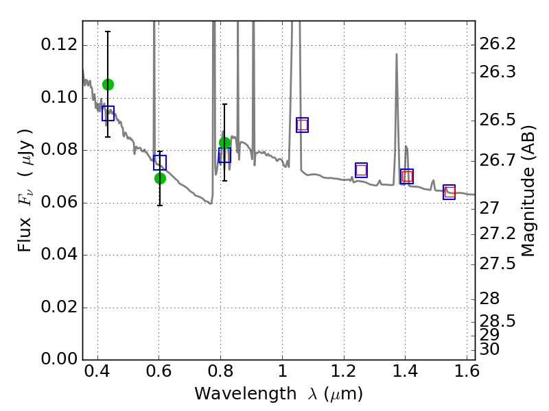
MACS0308+26 ACS+IR detection object #4077

Color images and BPZ results
Catalog: 4077.cat
Black segments are analyzed here.   Roll mouse over color images to view segments.
Best viewed in a wide browser window (1200 pixels or more).   Download SED & P(z) plots to view larger versions.
In P(z) plots: Yellow lines mark the cluster redshift z = 0.356,  

Object #4077   x,y = (1494, 1370)   RA, Dec = (03:09:01.488, 26:44:34.44) = (47.25620, 26.74290)   BPZ = 1.087 [0.433--2.611]   type = 10.90 (SB11_A_0_l - SB3_B10)   chisq2 = 0.62   ODDS = 0.12   z_cluster = 0.356