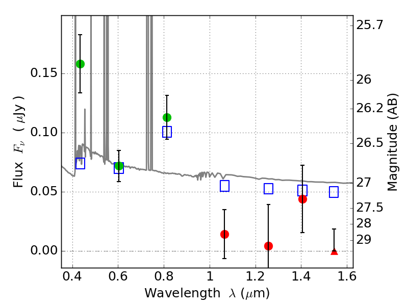
MACS0308+26 ACS+IR detection object #3617

Color images and BPZ results
Catalog: 3617.cat
Black segments are analyzed here.   Roll mouse over color images to view segments.
Best viewed in a wide browser window (1200 pixels or more).   Download SED & P(z) plots to view larger versions.
In P(z) plots: Yellow lines mark the cluster redshift z = 0.356,  

Object #3617   x,y = (2656, 1717)   RA, Dec = (03:08:56.280, 26:44:55.32) = (47.23450, 26.74870)   BPZ = 0.111 [0.069--2.589]   type = 11.00 (SB11_A_0_l)   chisq2 = 5.78   ODDS = 0.50   z_cluster = 0.356