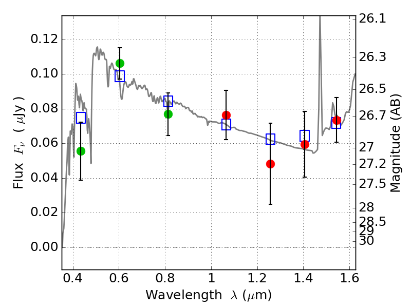
MACS0308+26 ACS+IR detection object #3259

Color images and BPZ results
Catalog: 3259.cat
Black segments are analyzed here.   Roll mouse over color images to view segments.
Best viewed in a wide browser window (1200 pixels or more).   Download SED & P(z) plots to view larger versions.
In P(z) plots: Yellow lines mark the cluster redshift z = 0.356,  

Object #3259   x,y = (1967, 1934)   RA, Dec = (03:08:59.376, 26:45:08.28) = (47.24740, 26.75230)   BPZ = 2.947 [0.331--3.469]   type = 10.70 (SB11_A_0_l - SB3_B10)   chisq2 = 0.61   ODDS = 0.44   z_cluster = 0.356