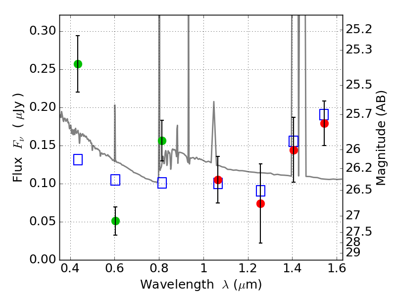
MACS0308+26 ACS+IR detection object #3000

Color images and BPZ results
Catalog: 3000.cat
Black segments are analyzed here.   Roll mouse over color images to view segments.
Best viewed in a wide browser window (1200 pixels or more).   Download SED & P(z) plots to view larger versions.
In P(z) plots: Yellow lines mark the cluster redshift z = 0.356,  

Object #3000   x,y = (2770, 2190)   RA, Dec = (03:08:55.776, 26:45:23.40) = (47.23240, 26.75650)   BPZ = 1.149 [0.765--2.376]   type = 11.00 (SB11_A_0_l)   chisq2 = 5.01   ODDS = 0.38   z_cluster = 0.356