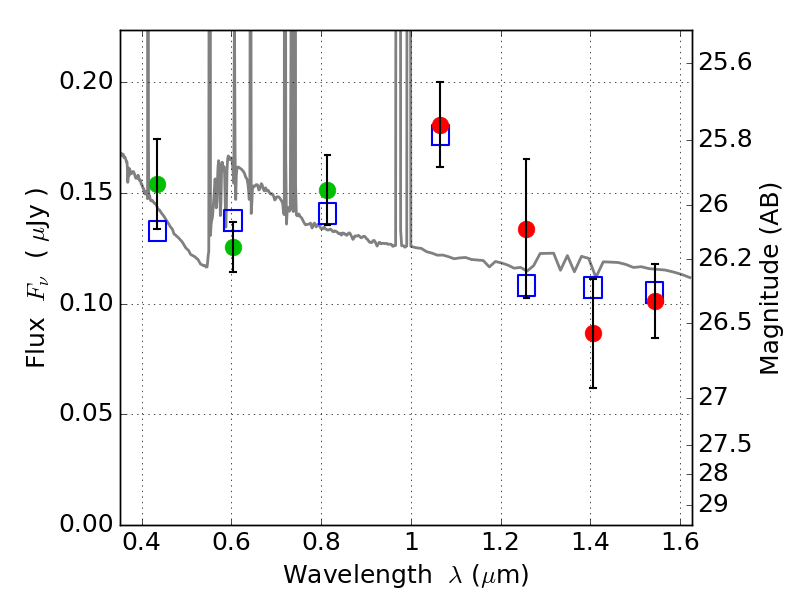
MACS0308+26 ACS+IR detection object #2936

Color images and BPZ results
Catalog: 2936.cat
Black segments are analyzed here.   Roll mouse over color images to view segments.
Best viewed in a wide browser window (1200 pixels or more).   Download SED & P(z) plots to view larger versions.
In P(z) plots: Yellow lines mark the cluster redshift z = 0.356,  

Object #2936   x,y = (3396, 2182)   RA, Dec = (03:08:52.968, 26:45:23.04) = (47.22070, 26.75640)   BPZ = 0.482 [0.416--1.150]   type = 11.00 (SB11_A_0_l)   chisq2 = 0.73   ODDS = 0.30   z_cluster = 0.356