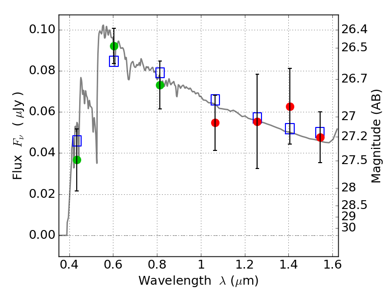
MACS0308+26 ACS+IR detection object #2837

Color images and BPZ results
Catalog: 2837.cat
Black segments are analyzed here.   Roll mouse over color images to view segments.
Best viewed in a wide browser window (1200 pixels or more).   Download SED & P(z) plots to view larger versions.
In P(z) plots: Yellow lines mark the cluster redshift z = 0.356,  

Object #2837   x,y = (3365, 2224)   RA, Dec = (03:08:53.112, 26:45:25.56) = (47.22130, 26.75710)   BPZ = 3.326 [0.262--3.649]   type = 11.00 (SB11_A_0_l)   chisq2 = 0.50   ODDS = 0.48   z_cluster = 0.356