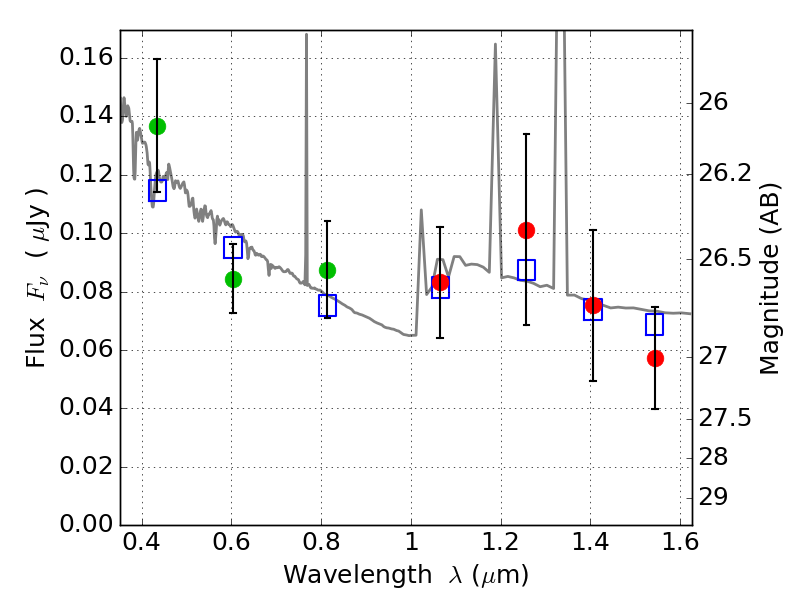
MACS0308+26 ACS+IR detection object #2746

Color images and BPZ results
Catalog: 2746.cat
Black segments are analyzed here.   Roll mouse over color images to view segments.
Best viewed in a wide browser window (1200 pixels or more).   Download SED & P(z) plots to view larger versions.
In P(z) plots: Yellow lines mark the cluster redshift z = 0.356,  

Object #2746   x,y = (2995, 2267)   RA, Dec = (03:08:54.768, 26:45:28.08) = (47.22820, 26.75780)   BPZ = 1.737 [0.423--2.589]   type = 11.00 (SB11_A_0_l)   chisq2 = 0.61   ODDS = 0.26   z_cluster = 0.356