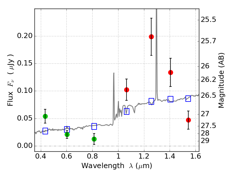
MACS0308+26 ACS+IR detection object #2742

Color images and BPZ results
Catalog: 2742.cat
Black segments are analyzed here.   Roll mouse over color images to view segments.
Best viewed in a wide browser window (1200 pixels or more).   Download SED & P(z) plots to view larger versions.
In P(z) plots: Yellow lines mark the cluster redshift z = 0.356,  

Object #2742   x,y = (3962, 2283)   RA, Dec = (03:08:50.424, 26:45:29.16) = (47.21010, 26.75810)   BPZ = 1.591 [1.008--1.902]   type = 8.90 (SB2_B10 - SB1_B10)   chisq2 = 8.23   ODDS = 0.46   z_cluster = 0.356