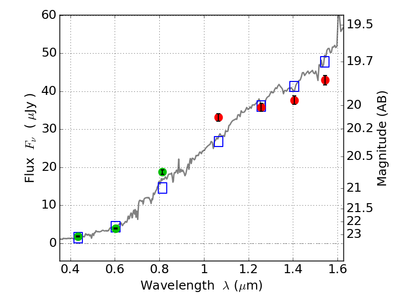
MACS0308+26 ACS+IR detection object #2725

Color images and BPZ results
Catalog: 2725.cat
Black segments are analyzed here.   Roll mouse over color images to view segments.
Best viewed in a wide browser window (1200 pixels or more).   Download SED & P(z) plots to view larger versions.
In P(z) plots: Yellow lines mark the cluster redshift z = 0.356,  

Object #2725   x,y = (1400, 2268)   RA, Dec = (03:09:01.920, 26:45:28.08) = (47.25800, 26.75780)   BPZ = 0.774 [0.734--0.816]   type = 5.90 (Sbc_B10 - ES0_B10)   chisq2 = 2.11   ODDS = 0.99   z_cluster = 0.356