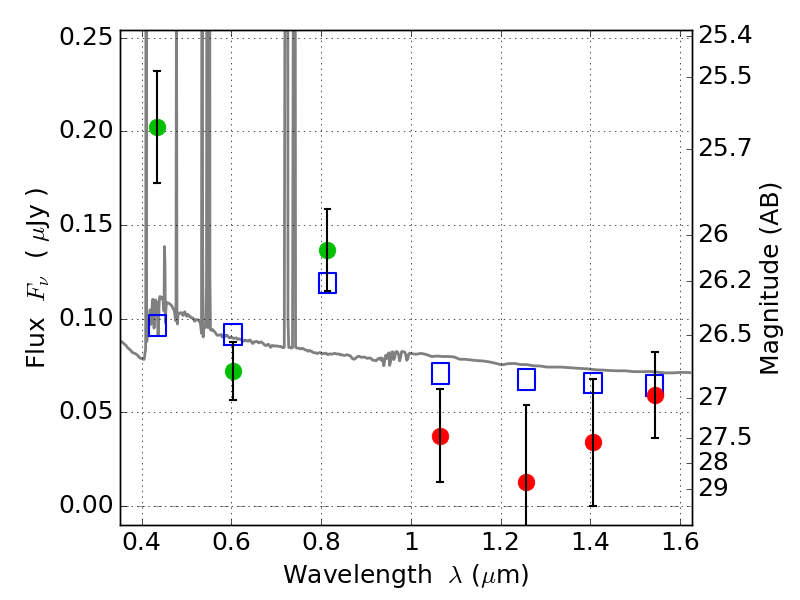
MACS0308+26 ACS+IR detection object #2357

Color images and BPZ results
Catalog: 2357.cat
Black segments are analyzed here.   Roll mouse over color images to view segments.
Best viewed in a wide browser window (1200 pixels or more).   Download SED & P(z) plots to view larger versions.
In P(z) plots: Yellow lines mark the cluster redshift z = 0.356,  

Object #2357   x,y = (2896, 2514)   RA, Dec = (03:08:55.200, 26:45:42.84) = (47.23000, 26.76190)   BPZ = 0.105 [0.084--2.634]   type = 11.00 (SB11_A_0_l)   chisq2 = 4.42   ODDS = 0.29   z_cluster = 0.356