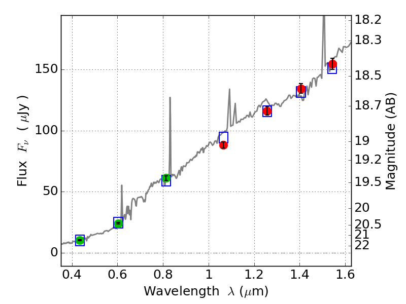
MACS0308+26 ACS+IR detection object #2331

Color images and BPZ results
Catalog: 2331.cat
Black segments are analyzed here.   Roll mouse over color images to view segments.
Best viewed in a wide browser window (1200 pixels or more).   Download SED & P(z) plots to view larger versions.
In P(z) plots: Yellow lines mark the cluster redshift z = 0.356,  

Object #2331   x,y = (2777, 2359)   RA, Dec = (03:08:55.728, 26:45:33.84) = (47.23220, 26.75940)   BPZ = 0.659 [0.582--0.733]   type = 6.60 (Scd_B10 - Sbc_B10)   chisq2 = 0.13   ODDS = 0.92   z_cluster = 0.356