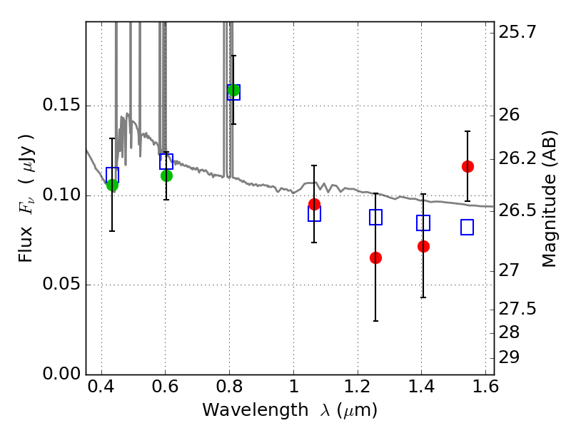
MACS0308+26 ACS+IR detection object #2111

Color images and BPZ results
Catalog: 2111.cat
Black segments are analyzed here.   Roll mouse over color images to view segments.
Best viewed in a wide browser window (1200 pixels or more).   Download SED & P(z) plots to view larger versions.
In P(z) plots: Yellow lines mark the cluster redshift z = 0.356,  

Object #2111   x,y = (2320, 2698)   RA, Dec = (03:08:57.792, 26:45:54.00) = (47.24080, 26.76500)   BPZ = 0.196 [0.096--3.247]   type = 11.00 (SB11_A_0_l)   chisq2 = 0.80   ODDS = 0.25   z_cluster = 0.356