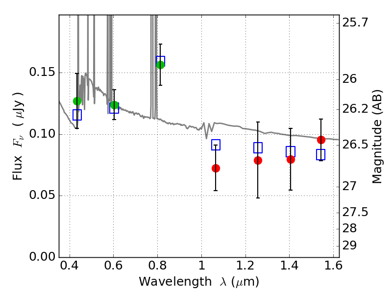
MACS0308+26 ACS+IR detection object #2066

Color images and BPZ results
Catalog: 2066.cat
Black segments are analyzed here.   Roll mouse over color images to view segments.
Best viewed in a wide browser window (1200 pixels or more).   Download SED & P(z) plots to view larger versions.
In P(z) plots: Yellow lines mark the cluster redshift z = 0.356,  

Object #2066   x,y = (3052, 2700)   RA, Dec = (03:08:54.504, 26:45:54.36) = (47.22710, 26.76510)   BPZ = 0.182 [0.085--2.837]   type = 11.00 (SB11_A_0_l)   chisq2 = 0.39   ODDS = 0.40   z_cluster = 0.356