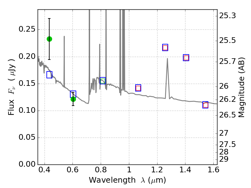
MACS0308+26 ACS+IR detection object #1920

Color images and BPZ results
Catalog: 1920.cat
Black segments are analyzed here.   Roll mouse over color images to view segments.
Best viewed in a wide browser window (1200 pixels or more).   Download SED & P(z) plots to view larger versions.
In P(z) plots: Yellow lines mark the cluster redshift z = 0.356,  

Object #1920   x,y = (4334, 2903)   RA, Dec = (03:08:48.768, 26:46:06.24) = (47.20320, 26.76840)   BPZ = 0.934 [0.650--8.367]   type = 11.00 (SB11_A_0_l)   chisq2 = 2.88   ODDS = 0.10   z_cluster = 0.356